1. Φασκόμηλο
Το φασκόμηλο (Σάλβια η φαρμακευτική, Salvia officinalis) ανήκει στο γένος Ελελίφασκος (Salvia) και στην οικογένεια των Χειλανθών (Lamiaceae). Το όνομα του γένους Salvia, προέρχεται από το λατινικό ρήμα salvo που σημαίνει σώζω (θεραπεύω). Στα αγγλικά η κοινή του ονομασία είναι sage, ή garden sage, ή common sage, ενώ τα ονόματα «ελελίφασκον» ή «σφάσκον» προέρχονται από τους Ιπποκράτη, Διοσκουρίδη και Θεόφραστο. Η ονομασία του είδους officinalis προέρχεται από την λέξη officina που ήταν η αποθήκη των μοναστηριών όπου αποθηκεύονταν τα βότανα και τα φάρμακα.
Το φυτό Salvia officinalis έχει έντονη ευχάριστη οσμή και καλλιεργείται για τις φαρμακευτικές και αντιοξειδωτικές του ιδιότητες. Διατίθεται στο εμπόριο ως ξηρή δρόγη ή υπό την μορφή αιθερίου ελαίου. Το αιθέριο έλαιο του φασκόμηλου έχει μια σειρά από φαρμακολογικές επιδράσεις: αντιμικροβιακές, κατά της χοληστερίνης, μείωση του άγχους, αντιμεταλλαξιογόνες, αντιφλεγμονώδεις, μέχρι και αντικαρκινικές. Ως αφέψημα έχει ιδιαίτερη φήμη και κατανάλωση, καθώς λειτουργεί ως εμμηναγωγό, ανθιδρωτικό, αντισηπτικό, αποχρεμπτικό, θεραπευτικό της στοματικής κοιλότητας, υπογλυκαιμικό, σπασμολυτικό, καρδιοτονωτικό, στυπτικό και ως βελτιωτικό πέψης. Εκτός από την χρήση του ως φαρμακευτικό βότανο βρίσκει εφαρμογές ως αρωματικό στην μαγειρική, στην αρτοβιομηχανία και στα καλλυντικά. Επίσης, χρησιμοποιείται στις βιομηχανίες τροφίμων και ποτών ως συντηρητικό.
Η υπερβολική και παρατεταμένη χρήση του φασκόμηλου, όπως συμβαίνει με τα περισσότερα φάρμακα και βότανα, μπορεί να προκαλέσει προβλήματα λόγω της θουγιόνης που περιέχει.
2. Θουγιόνη
Η ένωση θουγιόνη είναι γνωστή από τα μέσα του 19ου αιώνα, όπου υποστηριζόταν ότι η κατανάλωση του πότου αψέντι προκαλεί κρίσεις και υπαίτια ουσία θεωρήθηκε η θουγιόνη. Με το πέρασμα των χρόνων γύρω στο 1970, η θουγιόνη θεωρήθηκε ότι έχει την ίδια δράση με τα κανναβινοειδή. Μετά από όλες αυτές τις “κατηγορίες”, σήμερα καταναλώνεται με ελεγχόμενο τρόπο λόγω της δράσης της και θεωρείται ψυχοτροπική νευροτοξίνη. Παρουσιάζει ιδιαίτερο ενδιαφέρον η μελέτη της φυσικής ένωσης θουγιόνης, καθώς είναι παρούσα σε μεταβλητές ποσότητες σε ένα μεγάλο αριθμό φυτών, συνεπώς αποτελεί συστατικό σε πολλά προϊόντα φυτικής προέλευσης, διάφορα τρόφιμα, ποτά, καλλυντικά, αρτύματα, αρώματα και φαρμακευτικά προϊόντα.
2.1 Χημεία της θουγιόνης
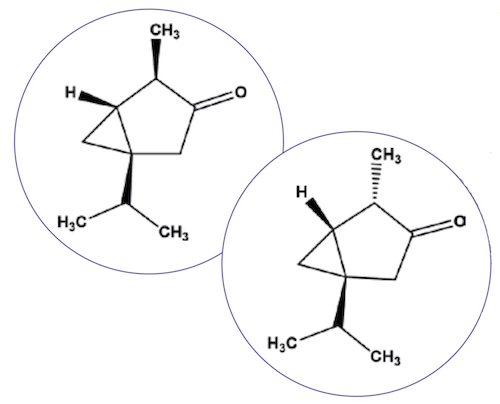
Η θουγιόνη είναι μια φυσική δίκυκλη μονοτερπενική κετόνη, εμφανίζεται στη φύση σε δυο διαστερεομερείς δομές: την (-)- α– θουγιόνη και την (+)-β-θουγιόνη (Σχήμα 1). Η θουγιόνη έχει και άλλες δυο εναντιομερείς δομές οι οποίες δεν θα αναφερθούν γιατί δεν εντοπίζονται στην φύση. Έχει οσμή παρόμοια με αυτής της μενθόλης (μέντα) και σε χημικώς καθαρή μορφή είναι άχρωμο υγρό.
Εντοπίζεται στο αιθέριο έλαιο του φασκόμηλου αλλά και σε άλλα φυτά όπως ο κέδρος, η αψιθιά, η ρίγανη, η τούγια και το χρυσάνθεμο, συνήθως ως μίγμα ισομερών 1:2 (Πίνακας 1).

Πίνακας 1: Ποσότητες θουγιόνης σε αιθέρια έλαια αρωματικών φυτών. (*ΜΚ: μη καθορισμένο).

Σχήμα 1: Δομή α– και β-θουγιόνης.
2.2 Χρήσεις και κανονισμοί
Στις μέρες μας υπάρχει ιδιαίτερο ενδιαφέρον θέσπισης ορίων γύρω από τις ποσότητες της α– και β-θουγιόνης, λόγω της τοξικότητας που παρουσιάζουν πάνω από κάποια συγκέντρωση στον ανθρώπινο οργανισμό, αλλά και λόγω των πολλών πηγών πρόσληψής τους. Τα όρια που έχουν θεσπιστεί αφορούν το σύνολο της θουγιόνης, δηλαδή και την α– και β-θουγιόνη. Ενώ οι κανονισμοί για τα τρόφιμα και ποτά μειώνονται, για τα φαρμακευτικά βότανα αυξάνονται. Μέχρι και σήμερα, αρκετές χώρες της Ευρωπαϊκής Ένωσης θεσπίζουν εθνικά όρια για το περιεχόμενο σε α– και β-θουγιόνη των εν λόγω προϊόντων, όμως η χρήση μπορεί να κλιμακωθεί ανάλογα με την α- και β-θουγιόνη. Σήμερα, τα εθνικά όρια έχουν αντικατασταθεί από όρια που καθορίζονται στις επιμέρους μονογραφίες (monographs) για ειδικά σκευάσματα ή από έγγραφα σχετικά με την α-και β-θουγιόνη στα φυτικά φαρμακευτικά προϊόντα.
Πιο συγκεκριμένα, ο Ευρωπαϊκός Οργανισμός Φαρμάκων (ΕΜΑ, European Medicines Agency), ορίζει ως ημερήσια αποδεκτή πρόσληψη (ADI, Acceptable Daily Intake) α– και β-θουγιόνης για το φασκόμηλο Salvia officinalis τα 5 mg/άτομο για διάρκεια χρήσης 2 εβδομάδων. Επίσης, ενώ υπάρχουν λίγα στοιχεία που αφορούν την έκθεση σε α– και β-θουγιόνη από φαρμακευτικά φυτά, η εκτίμηση είναι ότι 2 έως 20 φλιτζάνια αφεψήματος φασκόμηλου Salvia officinalis, απαιτούνται για να φτάσουν την αποδεκτή ημερήσια πρόσληψη (ADI). Τα μέγιστα επιτρεπτά όρια της θουγιόνης υπό την Ε.Ε είναι: 0,5 mg/kg στα τρόφιμα που δεν παρασκευάζονται με φασκόμηλο και 25 mg/kg στα τρόφιμα που παρασκευάζονται με φασκόμηλο. Στις Ηνωμένες Πολιτείες (Η.Π.Α), το φασκόμηλο και το αιθέριο έλαιο του φασκόμηλου (το όριο της θουγιόνης μπορεί να είναι μέχρι 50%) περιλαμβάνονται στην λίστα του Οργανισμού Τροφίμων και Φαρμάκων ως ασφαλή συστατικά, παρόλο που μέχρι το 2002 οι Η.Π.Α δεν είχαν εγκρίνει την θουγιόνη για την χρήση ως αρωματική ουσία.
Παρόλο που οι απόψεις διίστανται, η επιστημονική θεμελίωση ορίων για την πρόσληψη της θουγιόνης σε μορφή υδατικών εκχυλισμάτων όπως το φασκόμηλο ως αφέψημα είναι αμφισβητήσιμη. Επί του παρόντος, φαίνεται να μην υπάρχει κίνδυνος που να συνδέεται με την περιστασιακή χρήση του φασκόμηλου (κυρίως ως αφέψημα), ωστόσο τα στοιχεία που αφορούν την έκθεση σε θουγιόνη είναι εξαιρετικά περιορισμένα.
2.3 Τοξικότητα
Ανταγωνιστής των GABA υποδοχέων
Η α– και β-θουγιόνη αναστέλλουν την ενεργοποίηση των υποδοχέων GABA (gamma Aminobutyric acid) και έτσι οι νευρώνες μπορούν να πυροδοτηθούν εύκολα. Αποτέλεσμα αυτής της αναστολής είναι η πιθανή πρόκληση μυϊκών σπασμών.
Ανταγωνιστής του 5-ΗΤ3 υποδοχέα
Η α-θουγιόνη μειώνει την ευαισθησία του 5-ΗΤ3 (5-hydroxytryptamine) υποδοχέα, ο οποίος αποτελεί υποδοχέα της σεροτονίνης. Η αναστολή του υποδοχέα 5-ΗΤ3 από την α-θουγιόνη έχει ψυχοτρόπες δράσεις (αγχολυτική και αντιψυχωτική).
Ηπατική δράση
Σύμφωνα με μελέτες η α-θουγιόνη μεταβολίζεται γρήγορα στο ήπαρ. Η μείωση συνεπώς της κάθαρσης των φαρμακευτικών ουσιών και η διατήρηση τους σε υψηλά επίπεδα στο αίμα αποτελεί κίνδυνο πρόκλησης σοβαρών παρενεργειών.

Σχήμα 2: Ποσότητες θουγιόνης σε αιθέρια έλαια και αφεψήματα φασκόμηλου από διαφορετικές περιοχές της Ελλάδας.
3. Πειραματική διαδικασία
Κατά την πειραματική διαδικασία, αρχικά παραλήφθηκε το αιθέριο έλαιο του φασκόμηλου μετά από την διαδικασία της απόσταξης, με συσκευή Clevenger. Για την παρασκευή του αφεψήματος του φασκόμηλου 2 g κονιορτοποιημέ-νου-ξηρού φυτικού υλικού εκχυλίστηκαν σε 200 mL θερμού νερού. Η ποσότητα του θερμού νερού αντιστοιχεί σε μια κούπα και του φυτικού υλικού αντίστοιχη σε αυτήν που περιέχεται στο εμβαπτιζόμενο φακελάκι. Η διαδικασία της εκχύλισης είχε διάρκεια 10 λεπτά. Το παραληφθέν αφέψημα εκχυλίστηκε εν συνεχεία με οργανικό διαλύτη (διαιθυλαιθέρα) για την παραλαβή των πτητικών συστατικών του αφεψήματος.
Ο ποιοτικός και ο ποσοτικός προσδιορισμός των συστατικών του αιθερίου ελαίου του και των πτητικών συστατικών του αφεψήματος φασκόμηλου πραγματοποιήθηκε με αέρια χρωματογραφία συνδυασμένη με φασματομετρία μαζών (GC-MS, Gas Chromatography – Mass Spectrometry). Με την κατασκευή καμπύλης αναφοράς θουγιόνης και την μέθοδο του εσωτερικού προτύπου προσδιορίστηκαν η α– και β-θουγιόνη στα αιθέρια έλαια και στα αφεψήματα του φασκόμηλου. Βρέθηκε ότι οι συγκεντρώσεις της α– και β-θουγιόνης που προσδιορίστηκαν στα αφεψήματα είναι πολύ μικρότερες από αυτές των αντίστοιχων αιθερίων ελαίων στο φασκόμηλο, η διαφορά τους είναι της τάξεως 105, όπως φαίνεται στο Σχήμα 2. Επιπλέον, σύμφωνα με τα αποτελέσματα στα αιθέρια έλαια και στα αφεψήματα του φασκόμηλου οι μεγαλύτερες συγκεντρώσεις α– και β-θουγιόνης παρατηρούνται στην περιοχή της Κεντρικής Ελλάδας και ακολουθούν οι περιοχές της Βόρειας Ελλάδας.
Ο μέσος όρος α– και β-θουγιόνης που περιέχεται σε μια κούπα (200 mL) αφεψήματος φασκόμηλου είναι 1,16 mg. Η κατανάλωση 5 αφεψημάτων φασκόμηλου/ημέρα δεν ξεπερνά τα θεσπισμένα όρια σε σχέση με την ημερήσια αποδεκτή δόση, όπως αναφέρεται παραπάνω. Καταλήγοντας, η παρουσία της θουγιόνης στα αφεψήματα του φασκόμηλου, αυξάνει την πιθανότητα εκδήλωσης προβλημάτων στον ανθρώπινο οργανισμό, αλλά με την λελογισμένη χρήση τους μπορεί να αποφευχθεί η εμφάνιση αυτών.
Όλα μπορούν να θεωρηθούν τοξικά, μόνο η δόση ξεχωρίζει το τοξικό από το μη τοξικό. Η ελεγχόμενη χρήση καθώς και η πληροφόρηση για τις συνέπειες της κατανάλωσης επιβάλλεται όχι μόνο για το φασκόμηλο αλλά και για όλα τα φαρμακευτικά φυτά.
ΠΕΤΡΟΣ ΤΑΡΑΝΤΙΛΗΣ
ΚΑΘΗΓΗΤΗΣ ΤΜΗΜΑ ΕΠΙΣΤΗΜΗΣ ΤΡΟΦΙΜΩΝ ΚΑΙ ΔΙΑΤΡΟΦΗΣ ΤΟΥ ΑΝΘΡΩΠΟΥ
ΣΧΟΛΗ ΤΡΟΦΙΜΩΝ ΒΙΟΤΕΧΝΟΛΟΓΙΑΣ ΚΑΙ ΑΝΑΠΤΥΞΗΣ
ΝΕΦΕΛΗ-ΣΟΦΙΑ ΣΩΤΗΡΟΠΟΥΛΟΥ
ΥΠΟΨΗΦΙΑ ΔΙΔΑΚΤΩΡ ΤΜΗΜΑ ΕΠΙΣΤΗΜΗΣ ΤΡΟΦΙΜΩΝ ΚΑΙ ΔΙΑΤΡΟΦΗΣ ΤΟΥ ΑΝΘΡΩΠΟΥ
ΣΧΟΛΗ ΤΡΟΦΙΜΩΝ ΒΙΟΤΕΧΝΟΛΟΓΙΑΣ ΚΑΙ ΑΝΑΠΤΥΞΗΣ
Δημοσιεύτηκε στο περιοδικό ΤΡΙΠΤΟΛΕΜΟΣ
Περιοδική έκδοση του Γ.Π.Α.
Φθινόπωρο 2017 | ΤΕΥΧΟΣ 42
.
.
.
Categories: Δασικά Προϊόντα

Αφήστε μια απάντηση